18 Haziran 2019, Sal>
 
 
				
                Spor Toto BAL'a 2019-2020 sezonunda 160 takımın katılma hakkı bulunuyor. Bu takımlardan 84'ü Spor Toto BAL'da kalan, 67'si yerel amatör liglerden Spor Toto BAL'a çıkma hakkı kazanan ve 8'i TFF 3. Lig'den düşen, 1’i ise FIFA Disiplin Kurulu kararı ile TFF 3.Lig’den bir alt lige düşürülen takımlardan oluşuyor.
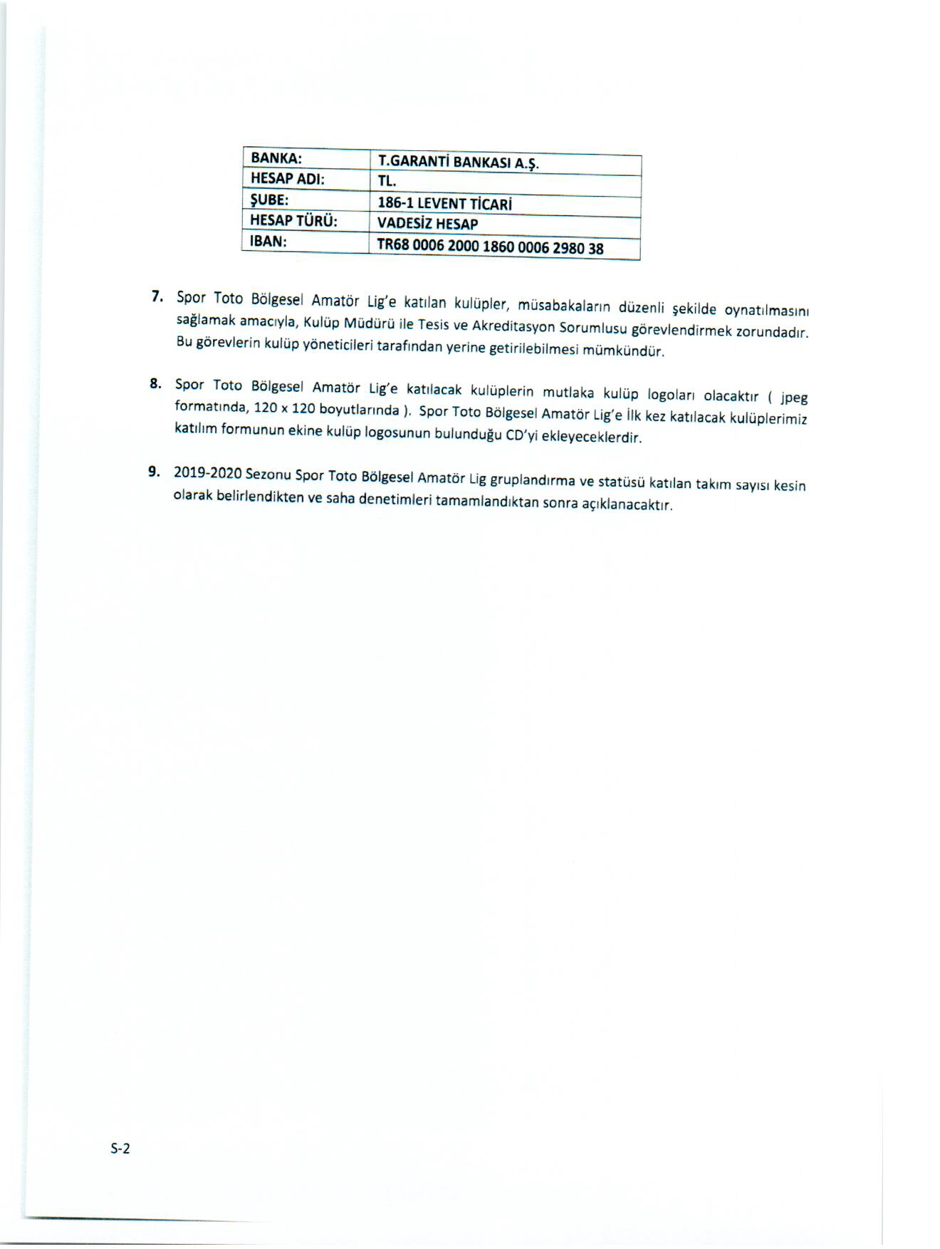
2019-2020 Sezonu Spor Toto Bölgesel Amatör Lig'e Katılım Genel Esasları ek'te belirtilmekte olup, bu esaslar doğrultusunda, lige katılma hakkı bulunan kulüplerin katılım belgelerini en geç 19 Temmuz 2019 tarihine kadar Türkiye Futbol Federasyonu Amatör İşler Müdürlüğü BAL Departmanlığı'na göndermeleri gerekiyor.
2019-2020 Sezonu Spor Toto Bölgesel Amatör Lig gruplandırma ve statüsü, lige katılacak takım sayısının kesin olarak belirlenmesi ve saha denetimlerinin tamamlanmasından sonra açıklanacak.
Spor Toto Bölgesel Amatör Lig'e Katılım Genel Esasları


Spor Toto BAL Katılım Formu

Saha Kriterleri

Lige Katılma Hakkı Bulunan Kulüpler Listesi



Diğer Haberler
 
                            TFF Başkanı İbrahim Ethem Hacıosmanoğlu FIFA Stadyum ve Güvenlik Komitesi'ne Seçildi..
2025-2026 Sezonu Bölgesel Amatör Lig Müsabakaları Statüsü Yayınlandı
 
                            TFF ve beIN SPORTS’un Desteklediği BeIN Squad 2. Sezon Amatör Takımları Açıklandı..
2025-2026 Sezonu Amatör Ligler Tescil Dönemleri ve Lisans Ücretleri Belirlendi
TFF Olağan Mali Genel Kurul Toplantısı, Ankara'da Yapıldı
Türkiye Futbol Federasyonu Olağan Mali Genel Kurul Toplantısı, TFF Statüsü gereğince 01.06.2024 - 31.05.2025 dönemi ile ilgil..
Gelişim Liglerine Katılacak Amatör Kulüplere Dair Kriterler Belirlendi
Türkiye Futbol Federasyonu Yönetim Kurulu'nun 23 Haziran tarihinde gerçekleşen toplantısında alınan karar gereği 2025-2026 se..